米乐mile官方网站
欢迎访问财贸系!
学校首页
网站首页
通知公告
新闻动态
系部概况
专业介绍
师资队伍
教学工作
党团建设
党支部动态
团建动态
学生工作
系学生会
专业社团
学子风采
资料下载
当前位置:
网站首页
>>
通知公告
>> 正文
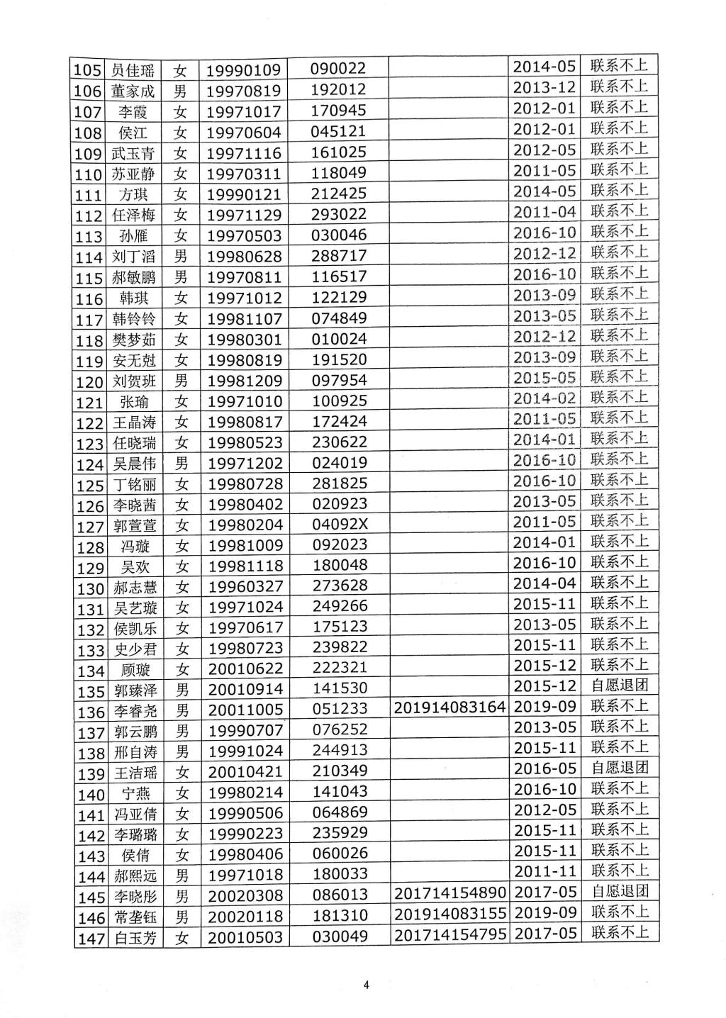
财贸系关于删除智慧团建电子档案的公示
发布者:
[发表时间]:2024-12-17
[浏览次数]: